Conservation and Community: The Local Economic Impacts of the Conservation Reserve Program
This report assesses the Conservation Reserve Program’s impacts on property values, rural business activity, employment, and migration.
Executive Summary
The Conservation Reserve Program (CRP), the nation’s largest working-lands conservation program, retires environmentally sensitive cropland in exchange for rental payments. While CRP’s ecological benefits are well documented, its socioeconomic effects on rural communities are less understood, though they are central to ongoing policy debates regarding the program’s future. This report provides a comprehensive national assessment of CRP’s impacts on property values over the period 2012–2022, and on rural business activity, employment, and migration from 2001 to 2022. The analysis yields several key insights.
CRP generates modest but measurable gains in nearby residential property values. Using a repeat-sales hedonic framework and a data set of more than 12 million transactions, we find that increases in CRP enrollment near a home raise sale prices. A 10-hectare increase in CRP land within 1 km increases property values by about 0.5–0.7 percent. Tree-cover CRP generates the greatest gains, at roughly 2 percent for the same increment, likely reflecting salient aesthetic improvements, wildlife habitat restoration, and enhanced recreational amenities. Based on current CRP enrollments, these localized amenity gains add an estimated $3 billion to residential real estate nationwide, or roughly $60 million annually.
CRP enrollment supports rural economic activity, particularly in agricultural and local service industries. Despite longstanding concerns that retiring cropland weakens rural economies, our analysis at the industry, county, and year levels finds that CRP is associated with small but consistently positive increases in rural employment and business activity. A 1,000-acre increase in county CRP enrollment raises rural employment by roughly 0.06 percent per year over the first three years, with gains tapering off by year five. On average, this implies an additional 8 rural jobs per 1,000 acres enrolled. Establishment counts show similar patterns. Effects are strongest within agriculture and closely related industries, but spillovers appear in retail, recreation, hospitality, and other local non-tradable sectors. These effects could be explained by stabilized farm income, land management labor needs, and amenity-driven recreation spending.
CRP does not contribute to sustained rural depopulation. Using IRS county-level migration data, we find no evidence that CRP accelerates out-migration or long-term population loss. CRP enrollment is associated with a small, short-run reduction in net in-migration (less than one basis point), but this effect reverses within three years. Over a five-year period, the program’s net effect on migration is essentially zero. These results counter the perception that CRP exacerbates rural decline.
Overall, the findings indicate that the CRP has supported rural communities while delivering substantial environmental benefits. In recent years, the program’s impacts on property values, local employment, and sectoral activity have been positive but moderate, and concerns about depopulation linked to land retirement are not supported by empirical evidence. From a policy perspective, the results suggest that the CRP can advance conservation objectives without harming rural economies. It is important to recognize that CRP spending primarily represents transfer payments to landowners, meaning that the observed external benefits to local communities constitute net social gains. As policymakers debate whether to pare down or strengthen the program, these results underscore the importance of considering its broader socioeconomic implications. They also highlight opportunities to align CRP design more closely with rural development goals. In particular, while tree cover tends to be more costly to establish and maintain than other cover types, it generates the most pronounced positive effects in both property and labor markets, suggesting that its relative benefits may justify its higher costs.
Related
1. Introduction
Created by the Food Security Act of 1985, the Conservation Reserve Program (CRP) is the largest payment for ecosystem services program in the United States (House Committee on Agriculture, 1985). The program, which pays agricultural producers for retiring ecologically sensitive croplands that face a high risk of environmental degradation, currently has a budget of approximately $2.2 billion per year, with 24.6 million acres (approximately 4 percent) of US cropland enrolled in long-term contracts to provide conservation benefits (Economic Research Service, 2024).
Since its inception, the program has faced concerns that retiring land from agricultural production could weaken rural economies by reducing demand for agricultural services and increasing absentee landownership and out-migration. However, the program’s impacts are multifaceted and may operate through multiple channels. For the agricultural sector, the net effects are equivocal: on the one hand, land retirement may reduce crop output and lower demand for agricultural inputs and services; on the other hand, rental payments help stabilize farm incomes and can sustain—or even reallocate—local spending. More broadly, by restoring habitat and improving water and soil quality, CRP can enhance environmental amenities and support recreation (e.g., hunting, wildlife viewing), generating downstream benefits for lodging, retail, and guide services. Aesthetic improvements from converting cropland to grasslands, forests, or wetlands may capitalize into higher property values and influence residential location decisions. Finally, these forces can shape migration: weaker demand for agricultural labor may encourage out-migration, while higher amenity values and more stable incomes may help retain or attract residents, with spillovers to non-tradable local sectors.
The CRP has not been updated since the 2018 Farm Bill, but there are active policy debates regarding the program’s future. Project 2025 proposed eliminating the CRP program entirely (Dans and Groves, 2023). On the other side, a recent bipartisan bill, CRP Improvement and Flexibility Act, introduced in the Senate in July 2025 and in the House in September, would expand key provisions including protecting wildlife habitat, improving grazing access, increasing the payment limit, and allowing for emergency haying in response to drought. An in-depth understanding of CRP’s socioeconomic impacts on rural communities can provide valuable evidence to inform these debates and guide future program design.
Our main objective in this report is to provide a comprehensive evaluation of the CRP’s economic impacts on rural communities from 2001 to 2022. To capture the multiple channels through which the program influences local economies, we analyze how changes in CRP enrollment over this period affect property markets, rural businesses and employment, and migration patterns. Together, these outcomes offer a holistic view of the program’s broader general equilibrium effects and the ways in which CRP enrollment reshapes rural economic landscapes.
The last comprehensive study in a similar spirit was conducted by Sullivan et al. (2004); it examined trends in population, employment, farm-related businesses, and land use in relation to CRP enrollment from 1986 to 2002. However, this study looked at effects of large initial changes in CRP land that occurred after the establishment of the program, whereas most relevant today are the effects of marginal changes in CRP land. As well, in the time since Sullivan et al. (2004), the program has undergone substantial changes, including the broadening of its objectives, adjustments to enrollment caps and rental rates, and new provisions regarding farmable wetlands and grazing options. External economic conditions such as commodity prices and agricultural land market dynamics have also shifted over time. At the same time, recent research raises concerns about non-additionality, showing that CRP disproportionately enrolls marginal agricultural lands that may have remained fallow even without the program (Rosenberg and Pratt, 2024; Aspelund and Russo, 2025). If so, the changes in land cover, environmental conditions, or downstream economic outcomes from enrolling these acres may be limited. Together, these developments underscore the need to revisit CRP’s economic effects using updated data and empirical methods to better inform current policy debates.
2. Background
2.1. Overview of the Conservation Reserve Program
The total land area enrolled in the CRP has varied over the decades in response to changes in commodity prices as well as funding and statutory acreage caps set by evolving agricultural legislation (Hellerstein, 2017). Enrollment climbed rapidly after 1986, peaking at nearly 36 million acres in 2007. It then fell to roughly 20.5 million by 2021 as the cap tightened and grain prices rose, before rebounding to about 24.6 million acres in 2024. The upward trajectory since 2021 has been due entirely to the advent of a new subprogram, Grassland CRP, which is intended to prevent grazing land from being converted to other uses (Farm Service Agency, 2024). Roughly 4 percent of US cropland has been idled and is currently removed from production as part of the CRP. CRP acres are often drawn from marginally productive or environmentally sensitive cropland, with the highest intensities of CRP enrollment historically in wind-prone Great Plains counties. Increasingly, CRP land has been spread across the Upper Midwest and Chesapeake Bay watersheds (US Department of Agriculture, 2020; Farm Service Agency, 2024). CRP enrollment extends across most states, with Texas, Colorado, South Dakota, Nebraska, and Kansas each exceeding 1.7 million enrolled acres (Farm Service Agency, 2024).
Participation in the CRP is voluntary, and participating landowners sign 10- to 15-year contracts to convert a set amount of cropland to native perennial vegetation (Federal Register, 2019). Land can enter the CRP through two main sign-up tracks. General sign-up is held annually and operates like a reverse auction: landowners offer an annual rent, and the US Department of Agriculture (USDA) ranks the offers using a composite environmental benefits index (EBI) (Hellerstein, 2017). This index weighs prospective local market conditions, USDA sets a predetermined rent ceiling for each offer based on recent cash-rent and soil surveys, which the rent offered may not exceed. The other pathway, continuous sign-up, introduced in 1996, allows producers to enroll land for specific high-priority practices such as riparian buffers, grassed waterways, filter strips, wetland restorations, and similar edge-of-field treatments Edge-of-field practices are conservation measures installed at or near the boundaries of agricultural fields to intercept, capture, or treat pollutants (such as sediment, nutrients, and pesticides) before they leave the field and enter adjacent water bodies. These practices are designed to reduce nonpoint source pollution from agriculture and protect downstream water quality, and often provide additional environmental benefits such as habitat creation or erosion control. at any time and without competing in an auction. These acres qualify for higher rental payments and cost-share because they deliver outsized water-quality or habitat benefits on relatively small footprints (Federal Register, 2019). In both tracks, participants commit to planting and maintaining an approved conservation cover (such as a mix of native grasses, pollinator-rich forbs, trees, or shallow-water wetland vegetation) for the duration of the contract. Failure to meet these requirements triggers the repayment of all benefits with interest (Farm Service Agency, 2020a).
Several additional program rules govern the enrollment of acres into the CRP. To be eligible, land must have recently been cropped and must be environmentally vulnerable. A field must have been planted in at least four of the previous six crop years and either score eight or more on USDA’s Erodibility Index or lie in a designated conservation priority area (Stubbs, 2022). One example of a designated conservation priority area is the Prairie Pothole Region, which stretches across much of the Upper Midwest and provides critical habitat for waterfowl. Congress set a national acreage cap for the program and has adjusted it over time to either promote enrollment or limit CRP’s footprint. The cap has ranged from a high of 45 million acres at the program’s inauguration in 1986 to a low of 24 million in 2014 (Stubbs, 2022). In addition, a statutory cap restricts CRP enrollment to no more than 25 percent of each county’s cropland, unless USDA, in consultation with local officials, grants a given county a waiver. Because CRP removes cropland from production, rural stakeholders have long voiced worries about the ripple effects on local economies. The cap aims to prevent large-scale land retirement from undercutting local demand for farm inputs such as seed, fertilizer, equipment repairs, and grain-handling services, and to limit rural population loss.
When it was first established, the CRP’s goals were to curb soil erosion and provide a dependable income stream for agricultural producers; however, the program’s environmental objectives have broadened with successive farm bills. While the main original motivation for the program was erosion control, the 1990 Farm Bill elevated wildlife habitat and water-quality protection and introduced the EBI so that bids offering the greatest environmental return per dollar would be favored (Sullivan et al., 2004). The introduction of continuous sign-up and the Conservation Reserve Enhancement Program in the 1996 Farm Bill ensured that targeted, part-field practices whose high conservation value may not be apparent from the EBI were prioritized for enrollment. The 2002 Farm Security and Rural Investment Act expanded the piloted Farmable Wetlands Program nationwide, bringing thousands of prairie potholes and playa basins (shallow wetlands scattered across the Southern High Plains and western Great Plains) into the CRP portfolio (Hellerstein, 2017; Federal Register, 2019).
Existing evidence suggests that the CRP has improved environmental outcomes along multiple dimensions. The program is estimated to have reduced soil erosion by 200–470 million tons annually, for a total of 9 billion tons since its inception (Farm Service Agency, 2008; Congressional Research Service, 2014; Farm Service Agency, 2020b). Filter strips, riparian buffers, and wetland restorations intercept hundreds of millions of pounds of nitrogen and phosphorus annually, sharply reducing nutrient loads that reach the Mississippi River and Great Lakes (Food and Agricultural Policy Research Institute, 2007). Grassland and wetland habitats on CRP land drive notable increases in duck nesting success in the Prairie Pothole region, support upland game birds such as pheasant and quail, and bolster populations of grassland songbirds that have declined elsewhere (Drum et al., 2015; Buffington et al., 2015). Carbon accounting places annual sequestration from CRP vegetation and soils at roughly 50 million metric tons of carbon-dioxide equivalent, and cumulative storage since 1986 approaches 2 billion metric tons, making CRP the single largest carbon sink on US private farmland (Stubbs, 2022).
2.2. CRP Enrollment Patterns and Trends in Recent Decades
To provide background for the analysis, this section describes trends in CRP enrollment and the composition of enrolled land cover since 1995. As shown in Figure 1, total enrollment in the CRP fluctuated considerably over the study period, shaped by changing commodity prices, policy caps, and evolving conservation priorities. During the late 1990s and early 2000s, total acres enrolled in the CRP remained high, exceeding 30 million acres and peaking at nearly 37 million acres in 2007. This period coincided with strong support from the 1996 and 2002 Farm Bills and relatively low crop prices, which made CRP payments attractive to farmers. After 2007, enrollment declined steadily as rising commodity prices encouraged farmers to return land to production and Congress reduced the acreage cap under the 2008 and 2014 Farm Bills. By 2021, CRP acreage had fallen to roughly 20 million acres, the lowest level since the program’s inception. In subsequent years, enrollment began to rebound modestly.
Figure 1. CRP Enrolled Acres by Cover Type Since 1995
Over time, the relative shares of major cover types remained broadly stable. Grass is the dominant CRP land cover; it has consistently accounted for over 80 percent of enrolled acres. Practices involving introduced and native grass plantings have been the cornerstone of the program because they are comparatively inexpensive to establish and maintain and are well suited to large, contiguous tracts of former cropland, making them more cost-effective for erosion control and general habitat restoration. Tree cover represents a smaller but important share, typically ranging between 5 to 10 percent of total acres. Tree establishment incurs costs of site preparation, seedling purchase, and maintenance and monitoring. Once established, however, forested CRP lands tend to provide long-lasting ecological benefits such as carbon storage, microclimate regulation, and multi-layered wildlife habitat. Wetlands make up the smallest portion of total CRP acreage but their restoration plays a disproportionately large role in ecological outcomes by improving water quality, mitigating flooding, and supporting biodiversity. Wetland enrollment was initially negligible but rose beginning in the mid-1990s and stabilized at around 5 percent of total acres after 2000. Wetland restoration is the most capital-intensive of the three types because it entails hydrological engineering and water-level management. As a result, wetland practices are typically implemented through continuous sign-up and the Conservation Reserve Enhancement Program, which offer higher rental payments to target specific ecological benefits. Overall, the CRP’s evolution since 1995 reflects both the changing economics of agricultural land use and a growing emphasis on diversified, multifunctional conservation benefits.
Figure 2 shows the geographic distribution of CRP land across US counties, averaged over the 1995–2024 period. The left panel presents total CRP acreage, while the right panel depicts CRP acreage as a share of county land area. Enrollment is heavily concentrated in the Great Plains, extending from Texas and Oklahoma northward through Kansas, Nebraska, and the Dakotas. In several counties within these regions, CRP land accounts for more than 15 percent of total county area, approaching the statutory cap of 25 percent. This pattern reflects both the abundance of marginal cropland vulnerable to wind erosion in these heavily agricultural landscapes and the program’s historical emphasis on soil conservation and grassland restoration. Parts of the Midwest also exhibit substantial enrollment, particularly along the upper Mississippi River Basin, where riparian buffers and filter strips are implemented to reduce sediment and nutrient runoff. In contrast, participation in the western and eastern coastal states is more limited. Overall, the spatial distribution of CRP acreage closely mirrors patterns of agricultural land use and environmental sensitivity: it is highest in counties dominated by erosion-prone cropland and lowest in regions characterized by intensive irrigation or urban development.
Figure 2. Average CRP Enrollment by County, 1995–2022
Different regions feature distinct compositions of CRP cover types. Figure 3 shows the percentage of CRP land in grass cover (panel A), tree cover (panel B), and wetland cover (panel C) by county. Grass cover dominates across much of the country, particularly in the Great Plains. As shown previously, these areas account for the majority of total CRP acreage and have an abundance of marginal cropland well suited to perennial grass establishment.
Figure 3. CRP Enrolled Acres by Cover Type, 1995–2002
Tree cover is most concentrated in the Southeast and parts of the Pacific Northwest, where climate and land conditions favor forest establishment and where practices such as the planting of longleaf pine and riparian forest buffers were targeted. Wetland cover is distributed more narrowly, with notable concentrations in the Prairie Pothole region of the northern Great Plains and the lower Mississippi River Basin, where wetland restoration programs focus on improving water quality and wildlife habitat. Together, these spatial patterns show that regional biophysical conditions and conservation priorities have shaped the composition of CRP land cover.
While CRP acreage has generally declined nationwide over time, enrollment has evolved unevenly across different parts of the country. Figure 4 shows the change in CRP acres between 1995 and 2022, with increases indicated in green and decreases in purple. The map reveals substantial regional variation in program dynamics. The northern Great Plains experienced the most pronounced reductions, particularly across Montana and the Dakotas, where many early contracts were not renewed after the mid-2000s peak. Elsewhere in the Great Plains, enrollment patterns are more mixed: some counties in Nebraska, Kansas, Colorado, and New Mexico saw notable increases, while neighboring areas recorded declines. Outside the Great Plains, most regions exhibit modest reductions in CRP acreage, consistent with the overall national contraction.
Figure 4. Change in CRP Enrolled Acres by County, 1995–2022
2.3. Literature
An extensive literature has examined the local economic impacts of the CRP. As previously discussed, for as long as the program has existed, there have been concerns that it might harm rural economies by reducing agricultural production. Early studies of the program’s effects on rural development, income, and employment generally find mixed but often negative results. Martin et al. (1988) studied the net impact of CRP on personal income in three counties in Oregon and find that it is positive in Morrow County, slightly negative in Gilliam County, and strongly negative in Umatilla County. Hyberg et al. (1991) report that CRP reduces regional and national economic activity, although the effect is partially offset by rental payments. Similarly, Johnson and Maxwell (2001) find that CRP reduces residential development, agricultural employment, and local business activity in the town of Three Forks, Montana. However, these studies either rely on input–output modeling approaches that do not account for general equilibrium adjustments or focus on specific localities, limiting the generalizability of their findings.
Later studies paint a more nuanced picture. Using data from the Agricultural Resource Management Survey, Chang et al. (2008) find that CRP recipients with lower incomes increased their consumption despite reductions in income and savings, while those with higher incomes exhibited the opposite behavior, suggesting ambiguous welfare implications for farm households directly affected by the program. Sullivan et al. (2004) find that the initial contraction in farm-related businesses was offset over time by the expansion of other sectors. Most recently, Li and Ando (2023) studied the effect of CRP enrollment on employment during 1998–2019 and document regional heterogeneity in CRP’s employment effects on the agricultural sector, with no detectable impact in the Midwest but negative and statistically significant effects in the West and Northeast. They also show that CRP supports rural development by enhancing natural amenities, which in turn boost tourism and non-agricultural employment in recreation, food services, and lodging. This is consistent with Deller et al. (2001), who demonstrate that natural amenities contribute to economic and population growth in rural communities, often by fostering tourism-based development around publicly owned lands in national forests and mountainous areas.
Several additional moderating factors are worth considering. Using a general equilibrium modeling framework, Taheripour (2006) finds that the employment effects of CRP are not simply proportional to the reduction in agricultural land use but are instead shaped by input substitution. His results indicate that the program increases demand for fertilizer and labor while reducing demand for land and capital. Hendricks and Er (2018) provide evidence that the US government adjusts the CRP acreage cap in response to commodity market conditions, which partially mitigates potential negative impacts from reduced agricultural production. Furthermore, it is critical to consider whether CRP enrollment meaningfully alters land use. Because CRP tends to enroll land that is marginal for agricultural production, some have argued that its conservation impacts are non-additional. If a large fraction of enrolled land would have been idled even without the program, the negative impacts on agricultural production and employment would be limited, and the program might function primarily as a transfer to participating farmers. Roberts and Lubowski (2007) suggest that about 60 percent of the enrolled land would have returned to cultivation in the absence of the program, but more recent estimates suggest that the share of additional conserved land may be as low as 25–30 percent (Morefield et al., 2016; Rosenberg and Pratt, 2024; Aspelund and Russo, 2025). It is important to note, however, that CRP explicitly targets environmentally sensitive land and requires specific management practices to maintain or enhance the quality of conservation cover. As a result, CRP-enrolled land is likely to differ fundamentally from farmland that would have simply remained fallow, particularly in the value of the amenities and ecological services it provides.
Several studies have examined how the CRP influences land markets and the provision of environmental services. An earlier study, Shoemaker (1989), finds a small positive effect of CRP on land values in regions where CRP bids exceeded market rents, reflecting the capitalization of program payments. Using county-level data, Wu and Lin (2010) find that CRP enrollment raises land values, suggesting that both financial incentives and conservation-related amenities are incorporated into local land markets. Using a regression discontinuity design, Brimlow and Roberts (2010) estimate a positive but statistically insignificant causal effect of CRP enrollment on agricultural land values. Johnson et al. (2016) find that the ecosystem service benefits provided by CRP lands, such as reduced flood damages and improved water and air quality, exceed the cost of payments in the Indian Creek Watershed in Iowa. The provision of environmental amenities represents an important channel through which the CRP influences rural communities.
It is commonly believed that the CRP leads to rural out-migration due to lost job opportunities. However, the migration impacts of the CRP arise not only from employment factors, but also from its role in improving natural amenities. As shown by McGranahan (2008), while there has been a general decline in rural population across the United States, rural areas with the greatest appeal are those with a mix of forest and open land, water, and relatively little cropland. Sullivan et al. (2004) find no conclusive evidence that the CRP impacts migration.
3. CRP Enrollment and Property Values
This section presents evidence regarding the effect of CRP on property values, drawn from analysis described in greater detail in Wibbenmeyer et al. (2026). The benefits provided by CRP land may include increased environmental amenities for neighboring landowners, including aesthetic benefits, improvements to air and water quality, and enhanced recreational opportunities. We study the benefits of CRP for nearby residential home owners using home transaction data, parcel-level CRP data, and a repeat-sales hedonic framework that identifies the relationship between changes in home sales prices over time and changes in the amount of nearby CRP land over time. While it is likely that not all ecosystem service benefits of CRP land are capitalized into nearby residential property values—some of the benefits may accrue at a broader scale, or to agricultural producers specifically—our approach provides convincing identification for a subset of CRP benefits not explored by previous studies: benefits to residential property owners.
3.1. Property Transaction and Parcel-Level CRP Data
We combine a comprehensive national data set of home transactions between 2012 and 2022, obtained from CoreLogic, Inc., with spatially explicit data on enrolled CRP parcels during the same time frame. The CRP data were obtained through personal communication. We filtered the transaction data set to limit the sample to transactions of residential properties, removed unusually high- or low-priced transactions, and restricted the sample to homes that were transacted more than once during the study period. We measured the total land within 1,000 meters of each property that was enrolled in the CRP in the year the property was sold. We also measured CRP land within 500 meters or 1,000 meters of the property in each of four outcome land-cover categories (grass, trees, wetland, and other), where categories were assigned based on each CRP parcel’s contracted CRP practice number.
3.2. Effects of CRP on Nearby Property Values
We estimate the effect of CRP on nearby property values using a repeat sales hedonic regression, where Pit is the price of property i at time t, and CRPdit is the total number of hectares enrolled in the CRP within distance d of property i at time t:
The primary challenge in identifying the effect of CRP on property values is the possibility that unobserved factors that affect property values are also correlated with the presence of CRP land nearby. The repeat sales approach allows us to include the term ai, which accounts for any such unobserved factors that are constant within properties over time (for example, rurality). State-by-year fixed effects (γs(i),y(t)) account for any unobserved variables that vary with prices and CRP, but affect the values of properties sold within the same state and same year the same way; an example might be statewide economic shocks. Month-of-year fixed effects account for seasonality in home sales prices. Other factors that could potentially bias our estimates vary over time within states; they may include population, income, total employment, and residential building permits. We control for these factors in the vector Xit.
Estimates of the effect of nearby CRP land on property values are shown in Table 1, with each column featuring a different specification. Column 1 indicates that increasing the area of CRP land within 1 km of a home by 10 hectares leads to an approximately 0.7 percent increase in property value. It is possible that the time-varying county-level control variables listed above do not capture every county-level factor correlated with both property values and within-county nearby CRP land. However, we speculate that most remaining factors would be correlated with total within-county CRP land as well; therefore, to account for some of these remaining factors we include county CRP as a control in column 3. Again, the estimated effect of CRP nearby diminishes only modestly. The coefficient on county CRP is positive and highly statistically significant. If taken at face value, its magnitude would indicate that increasing total within-county CRP land by 10 square km increases property values by 0.5 percent on average. Because there may be unobserved time-varying county-level variables that are correlated with both county CRP and home prices, we are cautious about attributing this full effect to CRP; instead, we view this variable primarily as a control. Nevertheless, it is possible that some of this estimated effect is due to county-wide amenity benefits of CRP. Columns 3 and 4 allow the benefits of CRP to vary across outcome land covers specified in CRP contracts. Most CRP land is converted from agriculture to grass, and estimates of the effect of CRP land converted to grass are similar to the base estimates in columns 1 and 2 (though the estimated effect of grass CRP becomes statistically insignificant in column 4 with the inclusion of county CRP). CRP land converted to tree cover has a much stronger effect; for every 10 hectares of CRP with tree cover within 1 km of a property, we estimate that property values increase by approximately 2 percent. Results for other bandwidth distances, and for a series of robustness tests are provided in Wibbenmeyer et al. (2026).
Table 1. Estimated Effect of Changes in Enrolled CRP Land within 1 km on Residential Property Values
Note: All columns include property fixed effects, state-by-year effects, and month-of-year effects. Standard errors are clustered by county. Columns with controls include controls for county population, income, total employment, and residential building permits. County CRP measures total CRP land in each property’s county, net of CRP land within 1000 meters of that property.
3.3. Discussion
Overall, our estimates indicate small positive effects of CRP on values of nearby properties. We estimate that CRP contributes about $934 million in value to properties in our repeat sales data set, based on the amount of CRP near each property at the time of its most recent sale. Extrapolating to the universe of US properties, we estimate the CRP contributes a total of around $3 billion to property values nationwide (see Wibbenmeyer et al. (2026) for more details on these calculations). Assuming a discount rate of 5 percent, this translates to annual property value benefits of about $60 million per year. While these benefits are small relative to the CRP’s annual program budget of about $2 billion per year, we note that they do not represent a comprehensive accounting of the program’s full benefits. Our estimates reflect only the portion of CRP benefits that are capitalized into the value of nearby homes. Some benefits may not be capitalized into home values (e.g., carbon sequestration benefits); others may accrue and be capitalized into home values at broader scales (e.g., air quality benefits). Moreover, most of the CRP program budget is spent on CRP payments, which are a transfer to participating landowners and may benefit participating landowners and their communities. These potential benefits are explored in the next section.
4. CRP Enrollment and Rural Economies
In this section, we study how enrollment in the CRP affects rural businesses and employment using a county-level panel data set spanning 1995–2022. The CRP can potentially stimulate rural economies by providing landowners with stable rental payments, which support household income and spending at local businesses. At the same time, retiring land from production may reduce demand for agricultural inputs and services, such as seed, fertilizer, and farm equipment, and this reduction can hurt suppliers and related industries. CRP can also foster new opportunities in such sectors as recreation, hunting, and conservation services, partially offsetting losses in traditional farm-related industries. Our analysis seeks to capture these multifaceted effects and the resulting shifts in sectoral composition.
4.1. Measuring Rural Business Establishments and Employment
To measure rural business outcomes, we draw on establishment-level data from the National Establishment Time Series (NETS) Database, which provides a panel of all US establishments (private and government) beginning in 1990. The database tracks the entry of new establishments, the survival of existing ones, and their annual operations. It includes precise geographic locations, industry classifications at the six-digit North American Industry Classification System (NAICS) level, and employment counts. Derived from archival Dun & Bradstreet records originally collected for business analytics, NETS is particularly well suited for this analysis because of its comprehensive coverage of small firms and agricultural establishments, which offers a detailed representation of rural economies (Neumark et al., 2007; Walls et al., 2020).
We take several steps to process the establishment-level records into the analysis data set aggregated by industry, county, and year. To represent the rural economic outcomes for each county, we calculate the total establishment count and employment within their rural areas, We follow the the Census Bureau’s urban–rural classification, which identifies urban areas as densely settled cores of census blocks based on housing unit and/or population density. See https://www.census.gov/programs-surveys/geography/guidance/geo-areas/urban-rural.html for more details. as well as by industry. The industry classification is at approximately the two-digit NAICS code level, representing broad sectors, with more granularity for agriculture-related industries. For details, see Appendix B.
Finally, we group industries into three categories based on their expected response to CRP enrollment (see Table B1 for details). The first group consists of agriculture and closely related industries that may either benefit from CRP rental payments or face reduced demand due to land retirement. The second group includes local non-tradable industries—such as retail, accommodation and food services, health care, and education—as well as recreation-related industries, which could be indirectly influenced through spillover effects. The third group captures industries that CRP is unlikely to affect, including mining, utilities, construction, non-agricultural manufacturing, public administration, and other sectors. We estimate separate effects for each group in the analysis.
4.2. The Average Effects of CRP Enrollment on Rural Industries
We estimate the impact of CRP enrollment on migration using a distributed lag model similar to the one we used in our analysis of rural economies. The regression specification is the following:
where Yict is the log of employment or establishment count. The main regressors ∆CRPc,t−h = CRPc,t−h − CRPc,t−h−1 are the year-on-year changes in CRP enrollment h years ago. This distributed lag model captures not only the contemporaneous effects of changes in CRP enrollment, but also how the effects unfold over multiple years. Notably, the total effect of a one-unit change in CRP enrollment can be represented by the cumulative sum of the coefficients. The model also includes a number of covariates (Xct) to control for evolving conditions in the counties. These include a set of interaction terms between year indicators and the county’s population, per capita GDP, and home construction permits in 1995, together representing the county’s pre-existing economic conditions at the beginning of the sample period. These interaction terms capture expected development trajectories in counties with different baseline economic conditions. We chose not to control for the contemporaneous levels of these variables because they may themselves be outcomes of the CRP. Including such post-treatment variables in the regression would risk introducing “bad controls” (i.e., controls that absorb part of the causal effect of interest and thereby bias the estimated relationship). We also control for contemporaneous land cover changes by including the log of natural land area (excluding CRP land) in the county and that of developed or barren land area in each year, calculated using the Cropland Data Layer (National Agricultural Statistics Service, 2024). Last but not least, the model controls for industry-by-county, industry-by-year, and state-by-year fixed effects to account for industrial composition by county, industry-specific growth trends, and macroeconomic trends by state, respectively.
We estimate Equation (2) using a sample at the industry, county, and year level with about 1.2 million observations spanning 2001–2022 (see Table A1 for summary statistics). We observe CRP and establishment outcomes for 1995–2022, but the lag structure of the model effectively excludes the first six years of the sample.
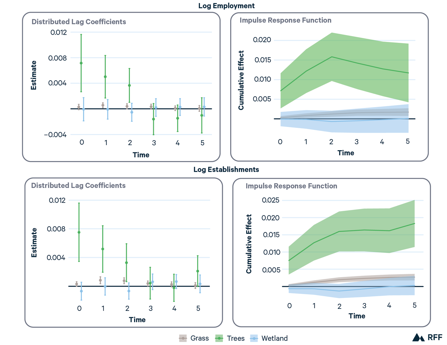
Figure 5 plots the estimated coefficients and their 95 percent confidence intervals, along with the corresponding impulse response functions (IRFs), for two outcomes: the log of employment (upper panel) and the log of number of establishments (lower panel). The coefficients are displayed in reverse order, corresponding to the number of lags in CRP area change. For instance, the coefficient at time 2 reflects the effect of a change in CRP area two years earlier on the current year’s outcome.
Figure 5. Average Effect on Employment and Establishments
Note: This figure shows regression coefficients from Equation (2) and their 95% confidence intervals. The main regressors are changes in CRP area in thousands of acres.
Increases in CRP area are generally associated with positive effects on both employment and establishment counts. Impacts within the first three years are the largest, and they decline to near zero by the fourth year. For employment, a 1,000-acre increase in CRP area is linked to an average increase of about 0.06 percent per year over the first three years and 0.03 percent in the fourth year, with negligible effects thereafter. The corresponding IRF shows an immediate positive effect that builds over time, peaking at 0.2 percent in year 3, before leveling off. This effect remains statistically significant throughout the six-year horizon. The effect on establishment counts displays a similar pattern, going from around 0.1 percent for the first two years to near zero at year 5. The IRF suggests a persistent upward trend, reaching about 0.38 percent by the end of year 5. For reference, the average CRP enrollment in the sample is about 10,000 acres, and the standard deviation of year-over-year changes is roughly 2,100 acres. This implies that a county experiencing a net increase in CRP land equal to one standard deviation of its year-to-year variation would see about 0.4 percent higher employment and 0.8 percent more establishments after six years.
For robustness, Figure A1 in the Appendix presents results using an alternative measure of CRP enrollment change, expressed as a share of county land. The results closely mirror the main findings described above.
4.3. Heterogeneous Effects by Industry Groups
CRP enrollment can affect different components of rural economies through distinct channels. Agriculture and related industries are directly influenced either by rental payments or by altered production and demand for inputs, while local non-tradable sectors and recreation-related businesses respond indirectly to changes in household income, spending, and land use. By contrast, industries unrelated to agriculture or local demand should be largely un-affected, making them a useful control group. We examine these heterogeneous effects using an augmented version of Equation (2) in which the CRP enrollment changes are allowed to interact with indicators of the direct and spillover treatment groups (see Table B1 for group classification).
Figure 6. Heterogeneous Effect by Industry Group
Figure 6 displays the estimated coefficients with 95 percent confidence intervals, along with the corresponding IRFs. Coefficients shown in red represent industries within or closely tied to agriculture, while those in green represent spillover industries. These estimates capture the effect of CRP enrollment on each treatment group relative to control industries, the omitted group.
The upper panel shows that CRP enrollment has more positive effects on employment in both the agricultural and spillover industry groups than in the control group. The magnitudes are similar across the two groups, with slightly larger impacts for agricultural industries. The dynamic pattern resembles the average effect shown in Section 4.2: the contemporaneous impact is strongest and declines over time. Nevertheless, the relative effect remains positive and statistically significant for both groups at year 5, indicating a persistent favorable influence of CRP enrollment. The IRFs suggest that a 1,000-acre increase in CRP enrollment leads to approximately 1 percent higher employment in agricultural industries and 0.7 percent higher employment in spillover industries by the end of year 5. The lower panel also shows consistently positive relative effects on establishment counts for both industry groups compared to the control group. The coefficients and the IRFs are very close for the two groups. By year 5, the cumulative effects amount to around 0.65 percent for both industries.
Figure A2 presents results using CRP change as a share of county land as an alternative measure. The qualitative patterns remain similar, but the differences between agricultural and spillover industries are more pronounced. These results reinforce our main findings while emphasizing the stronger response of agricultural industries.
These patterns are consistent with several underlying mechanisms. In agricultural industries, CRP enrollment provides direct rental payments that help sustain local farm income even as land is retired from production. At the same time, the conservation practices required on enrolled land may have countervailing employment effects. In addition, certain practices can improve soil health, which in turn may enhance long-term productivity or mitigate crop losses from flooding in nearby plots (Kim, 2023). Spillover effects on local non-tradable and recreation-related sectors likely arise as financially stronger farm households reallocate income toward local spending, while land retirement improves amenity values and attracts recreational activity.
4.4. Heterogeneous Economic Effects by Cover Type
The CRP enrolls land under a variety of management practices, each specifying the land cover to which the parcel will be converted. See https://www.fsa.usda.gov/resources/programs/conservation-reserve-program/practices-library for a list of practices. Using county-year data on enrolled acreage by practice, we classify enrollment into three main land cover categories: grass, trees, and wetlands. For example, the practice of wetland restoration is assigned to the wetland category, while riparian buffer is assigned to the tree category. Grass makes up the majority of CRP land cover in most counties, while wetlands are more prevalent along the Mississippi River, and tree cover is more common in the Southeast.
In this section, we examine whether the impacts of CRP enrollment differ across land cover types. Different land covers may generate distinct economic and ecological effects. To capture these potential differences, we construct separate lag structures for changes in CRP enrollment by land cover type and include them jointly in a regression model analogous to Equation (2).
Figure 7 presents results for the log of employment (upper panel) and the log of establishment counts (lower panel). Coefficients and IRFs in red, green, and blue correspond to grass, trees, and wetlands, respectively. For both outcomes, the strongest positive effects come from CRP enrollment with tree cover. The dynamic pattern resembles the average effect: the impact is largest and statistically significant in the first three years before tapering off. The cumulative effect of enrolling 1,000 acres of tree cover is about 1.2 percent higher employment and 1.8 percent more establishments by year 5. Grass cover—which constitutes the vast majority of CRP land—also produces statistically significant positive effects over the first three to five years, though at smaller magnitudes. By year 5, an additional 1,000 acres of grass cover corresponds to 0.17 percent higher employment and 0.26 percent more establishments. In contrast, wetland enrollment does not show statistically significant effects on either outcome.
Figure 7. Heterogeneous Effect by Cover Type
Tree planting represents a long-term commitment of land and labor and requires substantial up-front investment. It also brings about the most visible aesthetic changes to the landscape, enhancing amenity values and restoring wildlife habitats, which can in turn stimulate demand in local recreation and non-tradable sectors. These features may help explain its relatively stronger effects on employment and establishments. By contrast, while grass cover dominates nationally, its economic footprint is more diffuse and modest. Wetlands provide substantial ecological benefits—such as water filtration, flood mitigation, and wildlife habitat—but these services are less directly monetized in local labor markets, a difference that may account for the weaker effects observed in economic outcomes.
4.5. Discussion
Overall, the results in this section indicate that CRP enrollment is positively associated with employment, both within the agricultural sector and in the local non-tradable sector. To place the estimates in context, we translate the county-level coefficients from Section 4.3 into the implied long-term employment change resulting from shifts in CRP acreage between 2001 and 2022. On average, counties experienced a decline of about 5,400 CRP acres over this period, corresponding to an estimated loss of roughly 45 jobs per county, or about 127,000 jobs nationwide. Figure 8 maps the geographic distribution of these effects, showing that the largest job losses align with areas that saw the most substantial reductions in CRP enrollment, primarily across the Great Plains. For most counties, however, the estimated employment impact is modest, typically involving fewer than 100 jobs.
Figure 8. Employment Effect of CRP Enrollment Change, 2001–2022
Note: The values are bottom-coded at −2000, which affects four observations. The true minimum is −3547.
The positive employment effects we document may arise from several mechanisms. Within the agricultural sector, conservation practices often require labor for land management and maintenance and can improve farm resilience by reducing flood risk, preventing soil erosion, and enhancing long-term productivity. In addition, CRP rental payments provide stable income transfers to landowners, which can support farm operations and local spending even when land is temporarily idled. The program may also induce general equilibrium adjustments, shifting production toward more labor-intensive variable inputs and away from land and capital (Taheripour, 2006). Beyond agriculture, CRP lands can generate local spillovers through increased recreational opportunities and nature-based tourism, which in turn support employment in service industries such as hospitality, retail, and outdoor recreation.
These results differ qualitatively from some previous studies, notably Li and Ando (2023), who find that CRP enrollment is associated with lower farm employment. Their analysis also indicates that CRP participation leads to increases in non-farm jobs within recreation, food, and lodging services, with no discernible effects in other sectors. In contrast, our findings suggest that CRP enrollment is linked to higher employment across the broader agricultural sector and that spillover effects extend to a wider range of local service industries. A key distinction lies in our spatial focus: this analysis isolates rural areas within each county using establishment-level data, whereas past studies generally examine aggregate county-level employment. Because urban centers are unlikely to be materially affected by CRP enrollment, our approach emphasizes the rural labor markets where the program’s effects are most relevant. One caveat, however, is that this focus may omit potential spillovers to nearby urban economies, such as through agricultural supply chains or farm household spending. Nonetheless, our finding of positive spillover effects is consistent with earlier evidence, including McGranahan et al. (2003); Sullivan et al. (2004), and Li and Ando (2023), that rural economies can adapt to CRP participation over time and benefit from the program’s enhancement of local amenities.
5. CRP Enrollment and Migration
In this section, we study how CRP enrollment influences migration dynamics in rural counties over the 2001–2022 period. As shown in Section 4, CRP enrollment has positive impacts on rural economies, which may shape household decisions about whether to stay in or leave these areas. Additionally, the environmental amenities, recreational opportunities, and scenic landscapes created by CRP may attract new residents. Our analysis examines these countervailing forces to assess how CRP enrollment contributes to broader demographic shifts in rural areas.
5.1. Migration Measures
We measure inter-county migration using publicly available annual income tax return data from the US Internal Revenue Service (IRS) Statistics of Income program (US Internal Revenue Service, 2025). This data set is derived from address changes reported by US taxpayers on their tax returns and exemptions between 1990 and 2021. Tax returns are at the household level and exemptions are at the individual level. We calculate migration rates based on exemptions. For each US county, the Statistics of Income data provide two key migration measures: inflows, capturing the number of new residents and their county of origin, and outflows, capturing the number of departing residents and their destination county. The data also report the number of non-migrants, or residents who remained in the same county in a given year.
For each county, we calculate the annual inflow migration rate as the total number of inflow residents (from any origin) divided by the beginning population, represented by the sum of outflow migrants and non-migrants in the current year. The out-migration rate is calculated analogously using the number of outflow residents to any destination. Because the raw data contain some extreme outliers, possibly due to recording errors, we treat the top 0.1 percent of observed inflow and outflow rates as missing values.
The summary statistics of the analysis data set are provided in Table A2. During the sample period (2001–2021), average in- and out-migration rates are each approximately 6 percent, while the average net in-migration rate is 0.16 percent.
5.2. The Effects on Migration
We estimate the impact of CRP enrollment on migration using a distributed lag model similar to the one we used in our analysis of rural economies. The regression specification is the following:
where Yct is the migration rate at the county-year level. The key regressors are the contemporaneous year-to-year change and five lags of year-to-year change in CRP enrollment. The county-level time-varying covariates are similar to those of Equation (2), consisting of interaction terms between year indicators and the county’s per capita GDP and home construction permits in 1995, as well as contemporaneous land cover changes. The only difference is that we do not control for the interaction between 1995 population and year indicators here, to avoid the possibility of bad control. The model also controls for county and state-by-year fixed effects, which accounts for county-specific characteristics that are fixed over time, and statewide population and migration trends.
Figure 9 presents estimates of the effects of CRP on net in-migration rate. The left panel plots the estimated coefficients and 95 percent confidence intervals associated with changes in CRP enrollment, while the right panel shows the corresponding IRF. We find that CRP enrollment has an immediate negative effect on net in-migration, which diminishes in size and reverses to a positive effect starting in year 3. Although statistically significant, both the initial negative effect and subsequent positive effects are small in magnitude: a 1,000-acre increase in CRP enrollment is associated with a 0.83 basis-point decrease in net migration rate in the current year, which falls by half in the following year. In years 3 to 5, the effect turns positive, ranging from 0.54 to 0.66 basis points. The IRF indicates a cumulative increase of about 0.58 basis points by the end of year 5, but it is statistically insignificant.
Figure A3 further decomposes the effect on net in-migration by separately examining
inflow and outflow rates. The results indicate that the observed dynamics are driven primarily by changes in migration inflows, while the estimated effects on migration outflows are smaller in magnitude and remain statistically insignificant throughout the study period.
Figure 9. Effect of County CRP Enrollment on Net Migration Inflow Rate over Time
Notes: This figure shows regression coefficients from Equation (3) and their 95% confidence intervals. The main regressors are changes in CRP area in thousands of acres.
5.3. Heterogeneous Migration Effects by Cover Type
We also examine whether the effects differ depending on whether the CRP land cover type is grass, trees, or wetlands. As before, we estimate a regression model that includes separate lag structures for each land cover type. The results are presented in Figure 10.
The estimated coefficients for grass are similar to the average effects, which is expected given that grasslands make up the vast majority of CRP acreage. Estimates for both trees and wetlands indicate larger and more positive immediate effects, although they are noisy and not statistically significant. The cumulative effects, shown in the right panel, suggest that a 1,000-acre increase in enrollment in grass is associated with increases in net inflow rate of approximately 0.5 basis points by the end of year 5, while for wetlands the increase is approximately 7 basis points, and for trees approximately 3. Only the effect for trees is statistically significant, though its magnitude remains modest.
Figure 10. Differences in the Effect of CRP on Net Migration Inflow by Cover Type
5.4. Discussion
Overall, our analysis yields precise statistical estimates of the migration effects of CRP enrollment, and the evidence points to only modest and transitory effects on migration, with little evidence of sustained depopulation. These results indicate that concerns about CRP contributing to rural depopulation are not borne out in the data. If anything, the program appears largely neutral with respect to migration outcomes, implying that its primary effects should be understood through its environmental and land-use objectives rather than through population dynamics.
In section 4, we documented positive effects of CRP on employment, suggesting that the program may stimulate economic activity. These mechanisms can help offset any short-run reductions in in-migration and ultimately prevent population decline. Moreover, the environmental and amenity benefits generated by CRP—improved wildlife habitat, enhanced recreational access, and preservation of open space—can make rural areas more attractive places to live or visit, thereby reinforcing local economic activity without contributing to out-migration.
6. Conclusion
This report provides a comprehensive assessment of the socioeconomic impacts of the Conservation Reserve Program (CRP) on rural communities since 1995. We evaluate the program’s influence across three complementary dimensions: property values, rural business activity, and migration. The property value analysis is based on parcel-level changes in nearby CRP enrollment between 2012 and 2022, while the analyses of rural business activity and migration examine county-level CRP changes over the longer 1995–2022 period.
Across outcomes, the evidence indicates that CRP enrollment generates modest but positive economic benefits. Nearby CRP land is associated with higher residential property values, particularly when that land has been converted to tree cover. These capitalization effects are economically small, generating roughly $3 billion in aggregate value nationwide, or about $60 million per year when annualized at a 5 percent discount rate. However, they represent only a portion of the program’s total economic benefits. At the county level, increases in CRP enrollment are linked to higher employment and more establishments in both agricultural and non-tradable local service sectors. On average, a 1,000-acre increase in CRP enrollment is associated with 8 additional rural jobs over 3 to 5 years. Tree cover again produces the largest and most persistent economic gains, while grass cover yields smaller positive effects and wetlands show little direct impact on local labor markets. Meanwhile, migration responses are weak and transitory: we find no evidence that CRP contributes to sustained depopulation of rural areas.
Several mechanisms may explain these patterns. Within the agricultural sector, conservation practices often require ongoing management labor and can improve farm resilience by reducing erosion, mitigating flood risk, and stabilizing productivity. CRP rental payments also provide a steady income stream that supports local spending even when land is temporarily idled. Together, these channels can generate local multiplier effects that extend to non-agricultural businesses. Beyond the farm sector, the effects of CRP in enhancing environmental amenities appear to be dominant in driving economic outcomes, supporting local property values and employment in recreation, hospitality, and other service activities. Tree planting, in particular, visibly improves landscapes and creates lasting ecological benefits that may drive stronger spillovers into amenities and recreation.
From a policy perspective, the results suggest that the CRP can advance conservation objectives without broadly harming rural economies. The program appears to provide modest but positive support for local employment and property values. Although these effects are moderate in magnitude, it is important to recognize that most CRP spending comprises transfer payments to landowners, meaning that the observed external benefits to local communities constitute net social gains. The findings also challenge the view that most CRP enrollment is non-additional and might not generate substantive changes in the local environment. On the contrary, reductions in CRP acreage in recent decades appear to have contributed to lower property values and diminished rural employment. As policymakers debate whether to pare down or strengthen the program, these results underscore the importance of considering its broader socioeconomic implications. They also highlight opportunities to align CRP design more closely with rural development goals. In particular, while tree cover tends to be more costly to establish and maintain than other cover types, it generates the most pronounced positive effects in both property and labor markets, suggesting that its relative benefits may justify its higher costs.
Finally, several caveats merit attention. Many of the program’s ecological and climate benefits, such as carbon sequestration, water-quality improvements, and habitat restoration, are not necessarily reflected in property markets or employment opportunities and are thus not captured by our results. Moreover, our analysis of local employment focuses exclusively on rural areas and therefore omits potential spillovers to nearby urban economies through supply chains, commuting, or recreation-based spending.